INFORMAZIONI TECNICHE

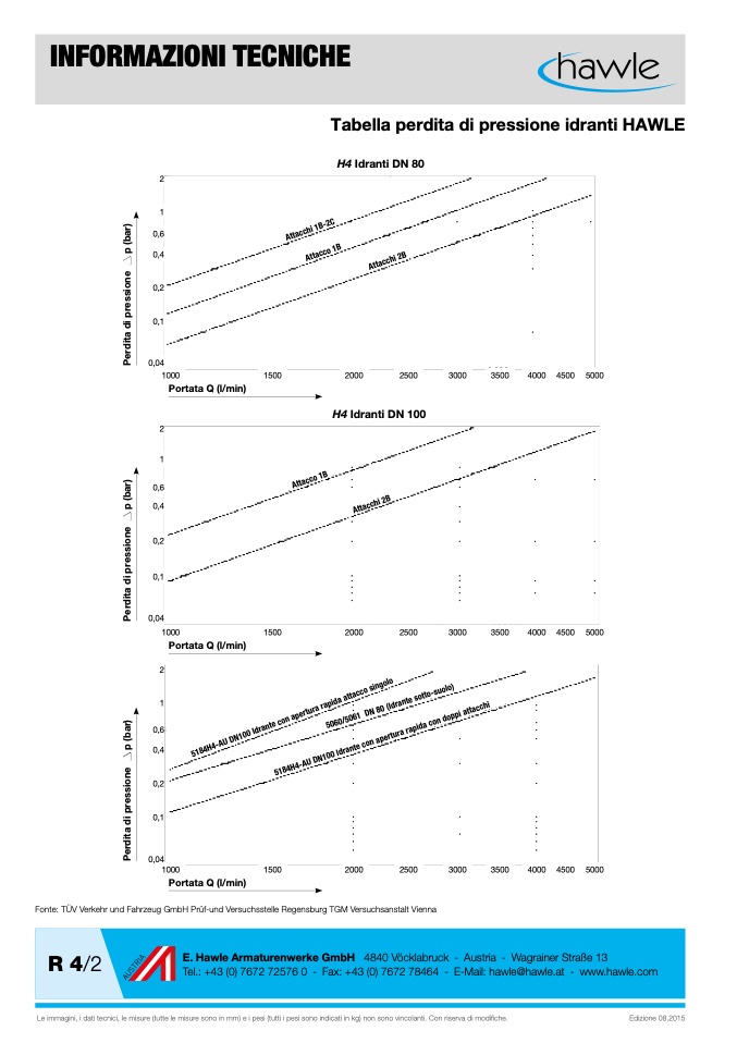
Tabella perdita di pressione idranti HAWLE

0,6

2

H4 Idranti DN 80

1

0,4

0,2

0,1

0,04

1000

1500

2000

2500

3000

3500

4000 4500 5000

Portata Q (l/min)

0,6

0,4

2

1

H4 Idranti DN 100

0,2

0,1

0,04

1000

1500

2000

2500

3000

3500

4000 4500 5000

Portata Q (l/min)

1

2

1

1

0,6

0,4

0,2

0,1

0,04

1000

1500

2000

2500

3000

3500

4000 4500 5000

Portata Q (l/min)

Fonte: TÜV Verkehr und Fahrzeug GmbH Prüf-und Versuchsstelle Regensburg TGM Versuchsanstalt Vienna

Tabelle Durchflussgeschwindigkeit bei Nennquerschnitt Hawle Hydranten

R 4/2

E. Hawle Armaturenwerke GmbH 4840 Vöcklabruck - Austria - Wagrainer Straße 13

Tabelle Durchflussgeschwindigkeit bei Nennquerschnitt Hawle Hydranten

Tabell

Durch e Durch

flussgeschwindigkeit bei Nennquerschnitt Hawle Hydranten

flussmenge

DN80

DN100

Durch

Durch

Q[l/min]

v[m/s]

v[m/s]

flussmenge

DN80

DN100

Tel.: +43 (0) 7672 72576 0 - Fax: +43 (0) 7672 78464 - E-Mail: hawle@hawle.at - www.hawle.com

flussmenge

DN80

DN100

Q1[l0/m00in]

v[3m,3/s]

v[2m,1/s]

Q[l/min]

v[m/s]

v[m/s]

10500

35,30

23,12

1000

3,3

2,1

Le immagini, i dati tecnici, le misure (tutte le

12

m

50

is

0

ur

0

e sono in mm) e i pesi (tut

56

ti i

,

p

06

esi sono indicati in kg) non

34

so

,

n

2

o vincolanti. Con riserva di modifiche.

Edizione 08.2015

1500

5,0

3,2

20500

68,63

45,23

2

0

0

0

6

,

6

4

,

2

Attacco 1B

Attacchi 2B

Attacchi 1B-2C

Attacco 1B

Attacchi 2B

5060/5061 DN 80 (Idrante sotto-suolo)

5184H4-AU DN100 Idrante con apertura rapida attacco singolo

5184H4-AU DN100 Idrante con apertura rapida con doppi attacchi

P

e

r

d

i

t

a

d

i

p

r

e

s

s

i

o

n

e

p

(

b

a

r

)

P

e

r

d

i

t

a

d

i

p

r

e

s

s

i

o

n

e

p

(

b

a

r

)

P

e

r

d

i

t

a

d

i

p

r

e

s

s

i

o

n

e

p

(

b

a

r

)

2

3

5

0

0

0

8

9

,

3

9

5

6

,

3

4