DIAGRAMMI DI SCELTA

(PERDITE DI CARICO E RUMOROSITÀ)

D

I

F

F

U

S

I

O

N

E

DIAGRAMMI DI SCELTA

(LANCIO)

3

2

1

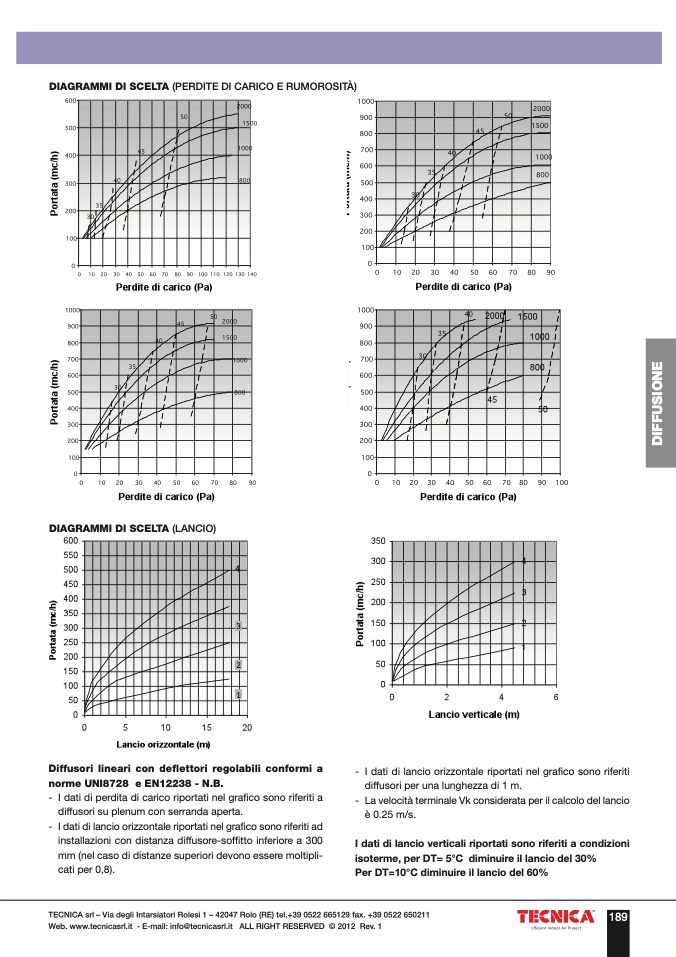
Diffusori lineari con deflettori regolabili conformi a

norme UNI8728 e EN12238 - N.B.

- I dati di perdita di carico riportati nel grafico sono riferiti a

diffusori su plenum con serranda aperta.

- Idatidilancioorizzontaleriportatinelgraficosonoriferitiad

installazioni con distanza diffusore-soffitto inferiore a 300

mm (nel caso di distanze superiori devono essere moltipli-

cati per 0,8).

- I dati di lancio orizzontale riportati nel grafico sono riferiti

diffusori per una lunghezza di 1 m.

- LavelocitàterminaleVkconsiderataperilcalcolodellancio

è 0.25 m/s.

I dati di lancio verticali riportati sono riferiti a condizioni

isoterme, per DT= 5°C diminuire il lancio del 30%

Per DT=10°C diminuire il lancio del 60%

TECNICA srl – Via degli Intarsiatori Rolesi 1 – 42047 Rolo (RE) tel.+39 0522 665129 fax. +39 0522 650211

Web. www.tecnicasrl.it - E-mail: info@tecnicasrl.it ALL RIGHT RESERVED © 2012 Rev. 1

189