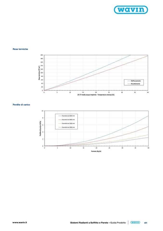
Rese termiche

200

180

160

140

120

100

80

60

40

20

0

0

5

10

15

20

25

30

35

40

ΔT (T media acqua impianto ‐ Temperatura stanza) [K]

Raffre

Riscald

scamento

amento

Perdite di carico

10

8

6

4

2

0

Pannello da 5000 mm

Pannello da 3000 mm

Pannello da 1500 mm

Pannello da 1000 mm

0

5

10

15

20

25

30

35

40

Portata [Kg/h]

www.wavin.it

Sistemi Radianti a Soffitto e Parete – Guida Prodotto

41

P

e

r

d

i

t

a

d

i

c

a

r

i

c

o

[

k

P

a

]

R

e

s

a

t

e

r

m

i

c

a

[

W

/

m

2

]