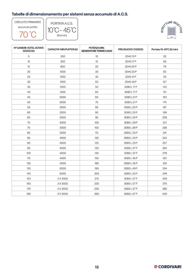
Tabelle di dimensionamento per sistemi senza accumulo di A.C.S.

CIRCUITO PRIMARIO

(accumulo puffer)

70

°

C

PORTATA A.C.S.

10

°

C- 45

°

C

[litri/min]

E

5

300

10

10

500

15

15

800

20

20

1000

30

25

1000

40

30

1000

50

35

1500

50

40

1500

60

45

2000

65

50

2000

75

55

2000

85

60

2500

90

65

2500

95

70

3000

100

75

3000

105

80

3000

115

85

4000

120

90

4000

125

95

4000

130

100

4000

135

115

4500

150

125

4500

180

135

5000

190

140

5000

200

150

2 X 3000

210

160

2 X 3000

220

170

2 X 3000

250

180

2 X 3000

290

2045 13 P

32

2045 17 P

56

2045 25 P

76

2045 33 P

93

2045 41 P

110

2045 45 P

127

3080 L 17 P

143

3080 L 17 P

151

3080 L 21 P

163

3080 L 21 P

174

3080 L 25 P

187

3080 L 25 P

199

3080 L 25 P

206

3080 L 29 P

221

3080 L 29 P

226

3080 L 33 P

241

3080 L 33 P

243

3080 L 33 P

257

3080 L 37 P

264

3080 L 37 P

278

3080 L 45 P

301

3080 L 45 P

319

3080 L 49 P

334

3080 L 53 P

346

3080 L 57 P

359

3080 L 57 P

370

3080 L 57 P

380

3080 L 57 P

403

15

T

S

E

N° CAMERE HOTEL DOTATE

DI DOCCIA

CAPACITA' MIN PUFFER (lt)

POTENZA MIN.

GENERATORE TERMICO (kW)

PRS (NUOVO CODICE)

Portata 10-45°C (lt/min)