A

R

T

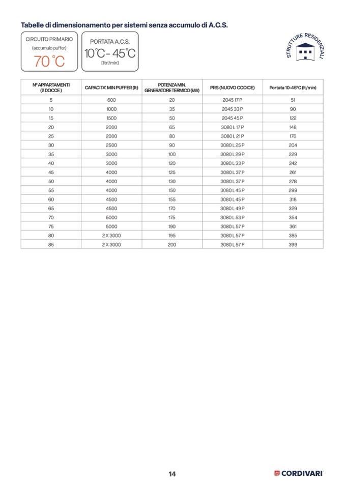
N° APPARTAMENTI

(2 DOCCE )

CAPACITA' MIN PUFFER (lt)

POTENZA MIN.

GENERATORE TERMICO (kW)

PRS (NUOVO CODICE)

Portata 10-45°C (lt/min)

Tabelle di dimensionamento per sistemi senza accumulo di A.C.S.

CIRCUITO PRIMARIO

(accumulo puffer)

70

°

C

5

10

15

20

25

30

35

40

45

50

55

60

65

70

75

80

85

PORTATA A.C.S.

10

°

C- 45

°

C

[litri/min]

600

20

1000

35

1500

50

2000

65

2000

80

2500

90

3000

100

3000

120

4000

125

4000

130

4000

150

4500

155

4500

170

5000

175

5000

190

2 X 3000

195

2 X 3000

200

R

14

2045 17 P

51

2045 33 P

90

2045 45 P

122

3080 L 17 P

148

3080 L 21 P

176

3080 L 25 P

204

3080 L 29 P

229

3080 L 33 P

242

3080 L 37 P

261

3080 L 37 P

278

3080 L 45 P

299

3080 L 45 P

318

3080 L 49 P

329

3080 L 53 P

354

3080 L 57 P

361

3080 L 57 P

385

3080 L 57 P

399