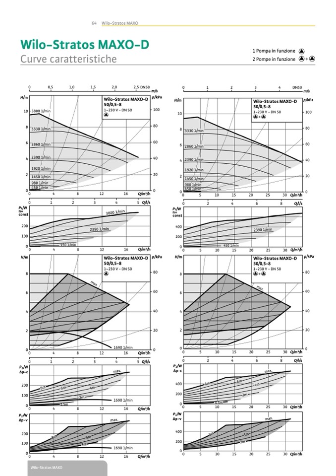
Wilo-Stratos MAXO-D

Curve caratteristiche

1 Pompa in funzione X

2 Pompe in funzione

Y

0

0,5

1,0

1,5

2,0

2,5 DN50

m/s

p/kPa

100

80

60

40

20

0

1

2

3

4

DN50

m/s

p/kPa

64 Wilo-Stratos MAXO

v

v

H/m

10

8

6

4

2

H/m

10

8

6

4

2

100

80

60

40

20

3800 1/min

Wilo-Stratos MAXO-D

50/0,5-8

1~230 V - DN 50

X

3330 1/min

2860 1/min

2390 1/min

1920 1/min

1450 1/min

980 1/min

450 1/min

Wilo-Stratos MAXO-D

50/0,5-8

1~230 V - DN 50

Y

3330 1/m in

2860 1/m

2390 1/m

in

in

1920 1/m in

1450 1/min

980 1/min

450 1/min

0

0

4

8

12

1

6

Q/m3/h

0

0

1

2

3

4

5Q/l/s

P

1

/W

n=

const

200

100

H/m

8

6

4

2

0

0

5

1

0

15

0

2

4

6

8

Q/l/s

20

20

30 Q/m3/h

0

450 1/min

P

1

/W

n=

const

400

25

25

30Q/m3/h

450 1/

in

200

0

0

m

0

4

8

12

16

Q/m3/h

0

5

10

15

p/kPa

H/m

8

0

8

6

0

6

40

4

2

0

2

p/kPa

80

60

40

20

Wilo-Stratos MAXO-D

50/0,5-8

1~230 V - DN 50

X

1690 1/ min

Wilo-Stratos MAXO-D

50/0,5-8

1~230 V - DN 50

Y

0

0

4

8

12

1

6

Q/m3/h

0

0

1

2

3

4

5Q/l/s

P

1

/W

Δp-c

200

100

0

0

4

8

12

1

6

Q/m3/h

P

1

/W

Δp-v

200

100

0

0

4

8

12

1

6

Q/m3/h

Wilo-Stratos MAXO

30 Q/m3/h

0

0

2

4

6

8

Q/l/s

0

0

5

10

15

20

20

25

25

P

1

/W

Δp-c

400

200

0

0

5

P

1

/W

Δp-v

400

200

0

0

5

10

15

30 Q/m3/h

0, 5m

0,5m

1690 1/min

1690 1/min

10

15

20

25

30 Q/m3/h

3800 1/min

2390 1/min

2390 1/min

m

a

x

.

max.

max.

max.

max.

max.

6m

8m

5

m

4m

4m

8m

6m

2m

3m

2m

8

m

5m

8m

3

m