H/m

120

100

80

60

40

20

CO-3 Helix V 2208/CE

2900 1/min

50 Hz

H

/ m

40

35

30

25

20

15

10

CO-3 Helix V 3602/1/CE

2900 1/min

50 Hz

1

2

3

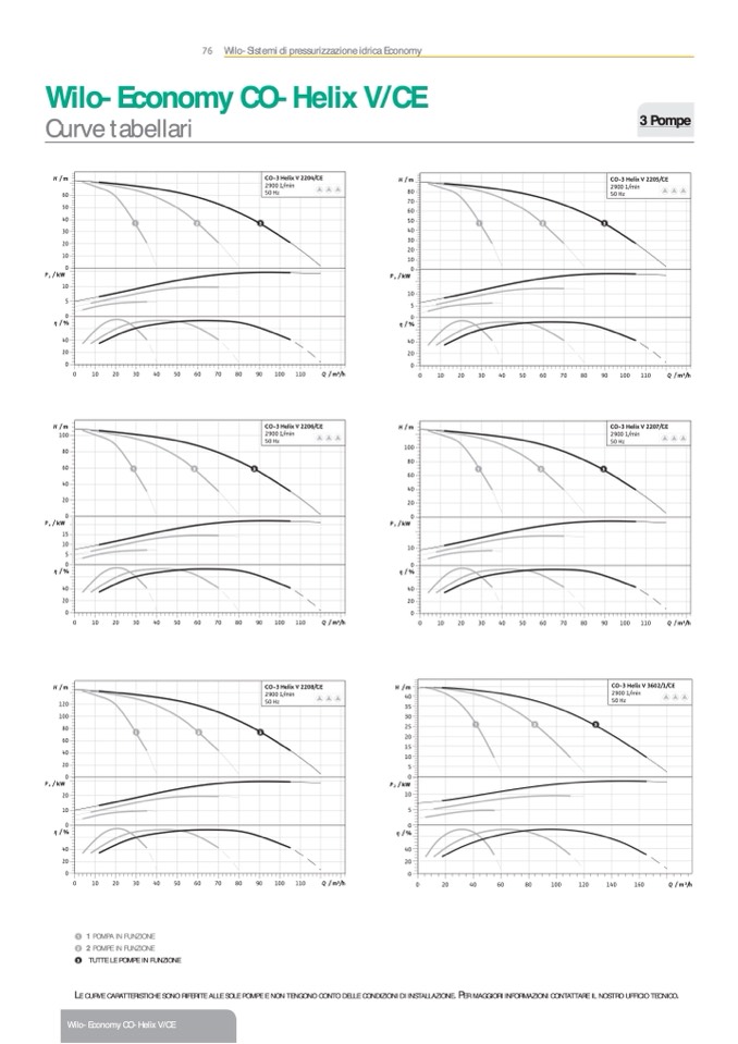
1 POMPA IN FUNZIONE

2 POMPE IN FUNZIONE

TUTTE LE POMPE IN FUNZIONE

1

2

3

1

2

3

�� Wilo-Sistemi di pressurizzazione idrica Economy

Wilo-Economy CO-Helix V/CE

Curve tabellari

H/m

60

50

40

1

2

3

30

20

10

0

0

P2 /kW

P2 /kW

10

5

10

5

0

0

η/%

η/%

40

40

20

20

0

0

H/m

100

80

60

40

20

CO-3 Helix V 2206/CE

2900 1/min

50 Hz

H / m

100

80

60

40

20

CO-3 Helix V 2207/CE

2900 1/min

50 Hz

0

10

20

30

40

50

60

70

80

90

100

110

Q/m3/h

0

10

20

30

40

50

60

70

80

90

100

110

Q/m3/h

0

0

P2 /kW

P2 /kW

15

10

5

η/%

η/%

40

40

20

20

0

0

10

0

0

0

10

20

30

40

50

60

70

80

90

100

110

Q/m3/h

0

10

20

30

40

50

60

70

80

90

100

110

Q/m3/h

1

2

3

5

0

0

P2 /kW

P2 /kW

20

10

10

5

0

0

η/%

η/%

40

40

20

20

0

0

0

10

20

30

40

50

60

70

80

90

100

110

Q/m3/h

0

20

40

60

80

100

120

140

160

Q

/m3/h

CO-3 Helix V 2204/CE

2900 1/min

50 Hz

3 Pompe

H / m

CO-3 Helix V 2205/CE

2900 1/min

80

50 Hz

70

60

50

1

2

3

40

L

E CURVE CARATTERISTICHE SONO RIFERITE ALLE SOLE POMPE E NON TENGONO CONTO DELLE CONDIZIONI DI INSTALLAZIONE

. P

ER MAGGIORI INFORMAZIONI CONTATTARE IL NOSTRO UFFICIO TECNICO

.

Wilo-Economy CO-Helix V/CE

30

20

10

1

2

3