Informazioni di prodotto per GeniaAir Tek HA ...-7.2 OS 230V B3

Dati sulle prestazioni - modalità riscaldamento

Dati sulle prestazioni in modalità riscaldamento per

pompe di calore aria/acqua da 8 kW

rps = giri al secondo

red= riduzione del ...%

85 rps

80 rps

75 rps

70 rps

65 rps

60 rps

50 rps

45 rps

40 rps

35 rps

°C

-20

5,38

5,00

4,63

4,25

3,88

3,50

2,75

2,37

2,00

1,62

-15

5,66

5,27

4,88

4,48

4,09

3,70

2,92

2,53

2,14

1,74

-12

6,13

5,73

5,33

4,92

4,52

4,12

3,32

2,92

2,52

2,12

-7

7,12

6,69

6,33

5,94

5,51

5,09

4,24

3,81

3,38

2,96

-2

7,94

7,51

7,09

6,66

6,23

5,81

4,96

4,53

4,10

3,68

0

8,22

7,79

7,37

6,94

6,51

6,09

5,24

4,81

4,38

3,96

2

9,01

8,54

8,06

7,58

7,10

6,62

5,66

5,18

4,70

4,22

7

10,27

9,63

8,96

8,29

6,95

6,28

5,61

4,94

10

10,94

10,12

9,30

7,66

6,84

6,02

5,20

12

11,42

10,54

9,66

7,91

7,04

6,16

5,28

15

10,89

9,98

8,15

7,24

6,33

5,42

20

11,47

10,48

8,51

7,52

6,53

5,54

85 rps

80 rps

75 rps

70 rps

65 rps

60 rps

50 rps

45 rps

40 rps

35 rps

°C

-20

-15

-12

-11

7,76

7,36

6,98

6,60

6,22

5,84

4,93

4,16

3,05

2,44

-10

7,84

7,43

7,05

6,67

6,29

5,90

4,99

4,21

3,09

2,49

-7

8,13

7,74

7,36

6,99

6,62

6,24

5,35

4,58

3,47

2,87

-2

8,51

8,11

7,74

7,37

6,99

6,62

5,72

4,95

3,84

3,24

0

8,66

8,26

7,88

7,50

7,12

6,74

5,83

5,05

3,94

3,33

2

9,45

8,98

8,54

8,10

7,65

7,21

6,17

5,32

4,16

3,49

7

10,63

9,98

9,34

8,69

7,25

6,17

4,83

3,96

10

11,39

10,59

9,80

8,06

6,79

5,34

4,32

12

11,97

11,12

10,26

8,41

7,09

5,58

4,50

15

11,55

10,66

8,74

7,37

5,84

4,72

20

12,35

11,38

9,31

7,85

6,25

5,06

18,0

16,0

14,0

12,0

10,0

8,0

6,0

4,0

2,0

8 kW: capacità di riscaldamento W35-30

-20

-15

-12

-7

-2

0

2

7

10

12

15

20

85 rps

80 rps

75 rps

70 rps

65 rps

60 rps

50 rps

45 rps

40 rps

35 rps

°C

k

W

12,0

10,0

8,0

6,0

4,0

2,0

8 kW: capacità di riscaldamento W55-50

-20

-15

-12

-11

-10

-7

-2

0

2

7

10

12

15

20

85 rps

80 rps

75 rps

70 rps

65 rps

60 rps

50 rps

45 rps

40 rps

35 rps

°C

k

W

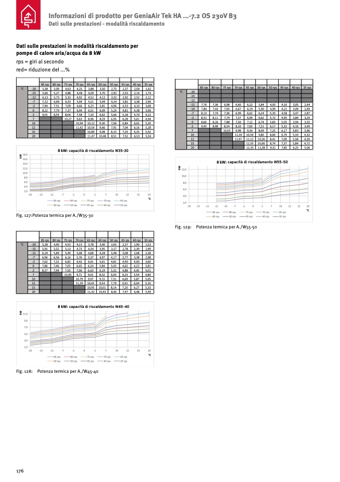
Fig. 127:Potenza termica per A./W35-30

Fig. 129:

Potenza termica per A./W55-50

85 rps

80 rps

75 rps

70 rps

65 rps

60 rps

50 rps

45 rps

40 rps

35 rps

°C

-20

5,28

4,90

4,53

4,15

3,78

3,40

2,65

2,27

1,90

1,52

-15

5,91

5,52

5,13

4,73

4,34

3,95

3,17

2,78

2,39

1,99

-12

6,29

5,89

5,49

5,08

4,68

4,28

3,48

3,08

2,68

2,28

-7

6,96

6,56

6,16

5,76

5,37

4,97

4,17

3,77

3,38

2,98

-2

7,62

7,22

6,82

6,42

6,01

5,61

4,81

4,40

4,00

3,60

0

7,86

7,46

7,05

6,65

6,24

5,84

5,03

4,62

4,22

3,81

2

8,37

7,94

7,50

7,06

6,63

6,19

5,32

4,88

4,45

4,01

7

10,40

9,71

9,01

8,32

6,93

6,23

5,54

4,84

10

10,79

9,97

9,15

7,51

6,69

5,87

5,05

12

11,29

10,42

9,54

7,79

6,91

6,04

5,16

15

10,95

10,01

8,14

7,20

6,27

5,33

20

11,42

10,43

8,46

7,47

6,48

5,49

11,0

9,0

7,0

5,0

3,0

1,0

8 kW: capacità di riscaldamento W45-40

-20

-15

-12

-7

-2

0

2

7

10

12

15

20

85 rps

80 rps

75 rps

70 rps

65 rps

60 rps

50 rps

45 rps

40 rps

35 rps

°C

k

W

Fig. 128: Potenza termica per A./W45-40

176