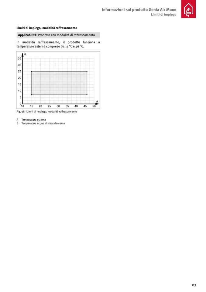
Limiti di impiego, modalità raffrescamento

Applicabilità: Prodotto con modalità di raffrescamento

In modalità raffrescamento, il prodotto funziona a

temperature esterne comprese tra 15 °C e 46 °C.

Informazioni sul prodotto Genia Air Mono

Limiti di impiego

B

35

30

25

20

15

10

5

0

A

10

15

20

25

30

35

40

45

50

Fig. 98: Limiti di impiego, modalità raffrescamento

A Temperatura esterna

B Temperatura acqua di riscaldamento

113