8

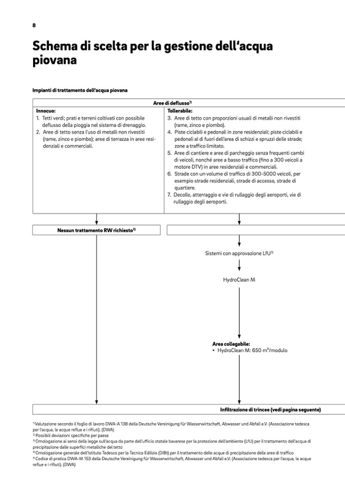
Schema di scelta per la gestione dell‘acqua

piovana

Impianti di trattamento dell‘acqua piovana

Aree di deflusso

1)

Innocuo:

1. Tetti verdi; prati e terreni coltivati con possibile

deflusso della pioggia nel sistema di drenaggio.

2. Aree di tetto senza l‘uso di metalli non rivestiti

(rame, zinco e piombo); aree di terrazza in aree resi-

denziali e commerciali.

Tollerabile:

3. Aree di tetto con proporzioni usuali di metalli non rivestiti

(rame, zinco e piombo).

4. Pisteciclabiliepedonaliinzoneresidenziali;pisteciclabilie

pedonali al di fuori dell‘area di schizzi e spruzzi delle strade;

zone a traffico limitato.

5. Aree di cantiere e aree di parcheggio senza frequenti cambi

di veicoli, nonché aree a basso traffico (fino a 300 veicoli a

motore DTV) in aree residenziali e commerciali.

6. Strade con un volume di traffico di 300-5000 veicoli, per

esempio strade residenziali, strade di accesso, strade di

quartiere.

7. Decollo, atterraggio e vie di rullaggio degli aeroporti, vie di

rullaggio degli aeroporti.

Nessun trattamento RW richiesto

2)

Sistemi con approvazione LfU

3)

HydroClean M

Area collegabile:

▪ HydroClean M: 650 m2/modulo

1)

Valutazione secondo il foglio di lavoro DWA-A 138 della Deutsche Vereinigung für Wasserwirtschaft, Abwasser und Abfall e.V. (Associazione tedesca

per l‘acqua, le acque reflue e i rifiuti). (DWA)

2)

Possibili deviazioni specifiche per paese

3)

Omologazione ai sensi della legge sull‘acqua da parte dell‘ufficio statale bavarese per la protezione dell‘ambiente (LfU) per il trattamento dell‘acqua di

precipitazione dalle superfici metalliche del tetto

4)

Omologazione generale dell‘Istituto Tedesco per la Tecnica Edilizia (DIBt) per il trattamento delle acque di precipitazione delle aree di traffico

5)

Codice di pratica DWA-M 153 della Deutsche Vereinigung für Wasserwirtschaft, Abwasser und Abfall e.V. (Associazione tedesca per l‘acqua, le acque

reflue e i rifiuti). (DWA)

Infiltrazione di trincee (vedi pagina seguente)