800

600

400

200

0

250

100%

200

150

100

50

0

98

94

90

86

82

78

76

72

68

64

60

70

66

62

58

54

58

54

50

46

12

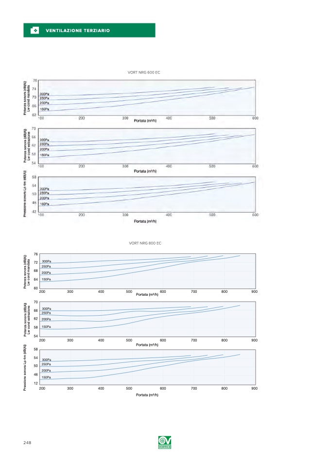
VORT NRG 600 EC

VENTILAZIONE TERZIARIO

200

300

400

500

400

500

600

600

700

800

900

700

800

900

-10°C 90%

-5°C 90%

0°C 90%

+5°C 90%

700

800

900

700

800

900

700

800

900

700

800

900

200

300

200

300

200

300

200

300

200

300

Portata (m3/h)

Portata (m3/h)

400

500

VORPToNrtRatGa8(m030/hE)C

300Pa

250Pa

200Pa

150Pa

400

500

400

500

400

500

600

Portata (m3/h)

600

600

600

300Pa

250Pa

200Pa

150Pa

Portata (m3/h)

Portata (m3/h)

300Pa

250Pa

200Pa

150Pa

248

300Pa

250Pa

200Pa

150Pa

P

r

e

s

s

i

o

n

e

s

o

n

o

r

a

L

p

4

m

(

d

B

(

A

)

)

P

o

t

e

n

z

a

s

o

n

o

r

a

(

d

B

(

A

)

)

P

o

t

e

n

z

a

s

o

n

o

r

a

(

d

B

(

A

)

)

E

f

f

i

c

i

e

n

z

a

d

i

s

c

a

m

b

i

o

(

%

)

-

E

N

3

0

8

P

o

t

e

n

z

a

a

s

s

o

r

b

i

t

a

p

e

r

v

e

n

t

i

l

a

t

o

r

e

(

W

)

P

r

e

s

s

i

o

n

e

s

t

a

t

i

c

a

(

P

a

)

L

w

c

o

n

d

e

s

t

r

a

z

i

o

n

e

L

w

c

o

n

d

m

a

n

d

a

t

a

A

r

i

a

e

s

t

r

a

t

t

a

:

2

0

°

C

/

5

0

%