30

20

10

����

P

1

/kW

10

300

200

100

86 Wilo-Stratos GIGA

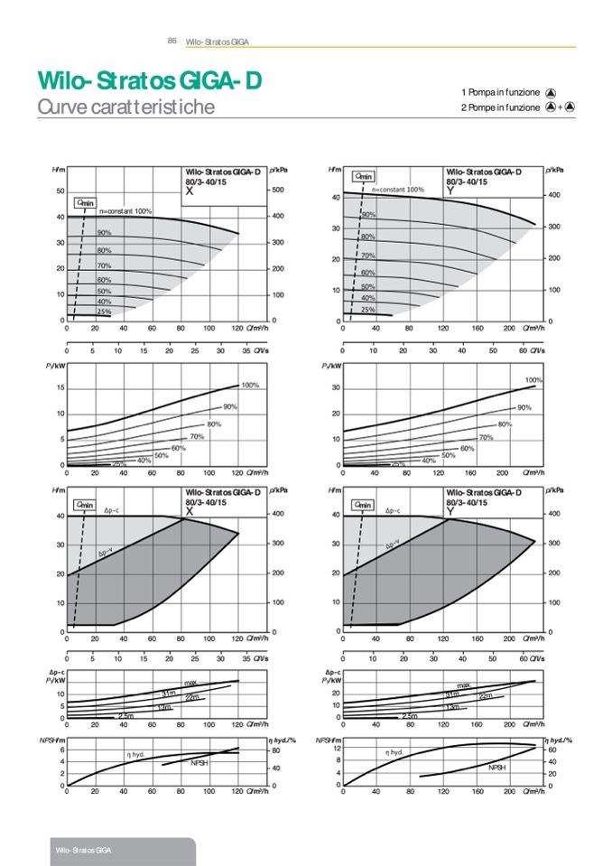
Wilo-Stratos GIGA-D

Curve caratteristiche

H/m

p/kPa

H/m

1 Pompa in funzione

2 Pompe in funzione

p/kPa

400

300

200

Qmin

90%

80%

70%

60%

50%

40%

���

Wilo-Stratos GIGA-D

80/3-40/15

Y

���������� ����

Qmin

n=constant 100%

90%

80%

70%

60%

50%

40%

���

Wilo-Stratos GIGA-D

80/3-40/15

X

50

500

40

400

30

300

20

200

10

100

40

30

20

10

100

0

0

0

0

0

20

40

60

80

100

120Q/m3/h

0

5

10

15

20

25

30

35Q/l/s

0

40

80

120

160

200 Q/m3/h

0

10

20

30

40

50

60Q/l/s

P

1

/kW

100%

90%

80%

70%

25

40%

60%

50%

100%

90%

80%

70%

25%

60%

50%

40%

P

1

/kW

15

10

30

20

5

10

0

%

0

0

20

40

60

80

100

120 Q/m3/h

0

40

80

120

160

200

Q/m3/h

Qmin

Wilo-Stratos GIGA-D

80/3-40/15

X

Qmin

Wilo-Stratos GIGA-D

80/3-40/15

Y

H/m

40

p/kPa

H/m

400

40

p/kPa

400

300

30

200

20

100

10

0

0

0

0

0

20

40

60

80

100

120Q/m3/h

0

5

10

15

20

25

30

35Q/l/s

0

40

80

120

160

200 Q/m3/h

0

10

20

30

40

50

60Q/l/s

����

P

1

/kW

20

2, 5m

2,

m

5

10

0

0

5

80

120

160

0

20

40

60

80

100

120 Q/m3/h

0

40

200 Q/m3/h

� ����/%

NPSH/m

80

12

4

8

2

4

0

4

� ����/%

60

40

� ����

NPSH

NPSH/m

6

� ����

NPSH

20

0

0

0

0

0

20

40

60

80

100

120Q/m3/h

0

40

80

120

160

200 Q/m3/h

Wilo-Stratos GIGA

����

����

����

����

max.

max.

31m

22m

31m

22m

13m

13m