94 Pompe in-line a motore ventilato elettroniche

Curve caratteristiche

Curve caratteristiche

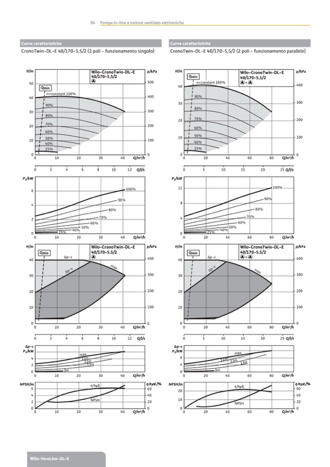
CronoTwin-DL-E 40/170-5,5/2 (2 poli - funzionamento singolo)

CronoTwin-DL-E 40/170-5,5/2 (2 poli - funzionamento parallelo)

H/m

p/kPa

H/m

p/kPa

90%

80%

70%

60%

50%

40%

25%

stant 100%

Wilo-CronoTwin-DL-E

40/170-5,5/2

X

Qmin

n=con

Qmin

n=constant 100%

Wilo-CronoTwin-DL-E

40/170-5,5/2

Y

90%

80%

70%

60%

50%

40%

25%

50

40

30

20

200

10

100

40

30

400

300

500

400

300

20

200

10

100

0

0

0

0

0

10

20

30

40

Q/m3/h

0

2

4

6

8

10

1

2

Q/l/s

0

20

40

60

80

Q/m3/h

0

5

10

15

20

25Q/l/s

0

20

40

60

8

0

Q/m3/h

100%

90%

80%

70%

40%

25%

60%

50%

100%

90%

80%

70%

25%

40%

60%

50%

P

1

/kW

6

4

2

P

1

/kW

12

8

4

0

0

0

10

20

30

4

0

Q/m3/h

Qmin

Δp-c

Wilo-CronoTwin-DL-E

40/170-5,5/2

X

Qmin

Δp-c

Wilo-CronoTwin-DL-E

40/170-5,5/2

Y

H/m

40

p/kPa

H/m

400

40

p/kPa

400

300

200

100

30

20

10

Δp-c

P

1

/kW

4

0

10

20

30

40

Q/m3/h

0

2

4

6

8

10

1

2

Q/l/s

0

20

40

60

80

Q/m3/h

0

5

10

15

20

25Q/l/s

0

20

40

60

8

0

Q/m3/h

300

30

200

20

100

10

0

0

0

0

Δp-c

P

1

/kW

8

2

4

0

0

0

10

20

30

4

0

Q/m3/h

η hyd.

NPSH

η hyd.

NPSH

NPSH/m

6

η hyd./%

NPSH/m

60

20

η hyd./%

60

4

40

40

2

20

10

20

0

0

0

0

0

10

20

30

40

Q/m3/h

0

20

40

60

80

Q/m3/h

Wilo-VeroLine-DL-E

max.

Δp-v

Δp-v

max.

max.

22m

max.

31m

31m

22m

13m

13m

3m

3m