66

Pompe in-line a motore ventilato elettroniche

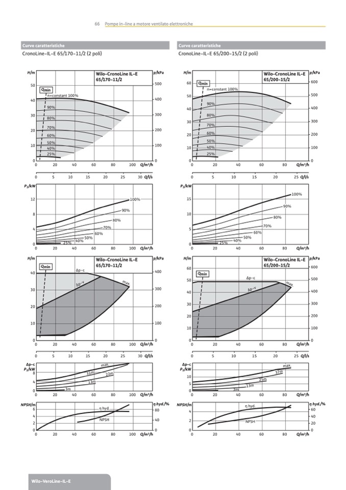
Curve caratteristiche

CronoLine-IL-E 65/170-11/2 (2 poli)

H/m

50

40

30

20

10

Curve caratteristiche

CronoLine-IL-E 65/200-15/2 (2 poli)

p/kPa

H/m

p/kPa

600

n=constant 100%

90%

80%

70%

60%

50%

40%

25%

Wilo-CronoLine IL-E

65/170-11/2

Qmin

Qmin

90%

80%

70%

60%

50%

40%

25%

Wilo-CronoLine IL-E

65/200-15/2

n=constant 100%

500

400

300

200

100

60

50

40

30

20

200

10

100

500

400

300

0

0

0

0

0

20

40

60

80

100 Q/m3/h

0

5

10

15

20

25

30Q/l/s

P

1

/kW

0

20

40

60

80

Q/m3/h

0

5

10

15

20

25Q/l/s

P

1

/kW

100%

90%

80%

70%

25%

50%

40%

60%

100%

90%

80%

70%

25%

40

60%

50%

%

12

0

H/m

40

30

20

10

20

40

60

80

100 Q/m3/h

0

20

H/m

60

50

40

30

20

10

40

60

80

Q/m3/h

15

8

10

4

5

0

0

Qmin

Δp-c

Wilo-CronoLine IL-E

65/170-11/2

Wilo-CronoLine IL-E

65/200-15/2

Qmin

Δp-c

p/kPa

400

300

200

100

p/kPa

600

500

400

300

200

100

0

0

0

0

0

20

40

60

80

100 Q/m3/h

0

5

10

15

20

25

30Q/l/s

Δp-c

P

1

/kW

8

0

20

40

60

80

Q/m3/h

0

5

10

15

20

25Q/l/s

Δp-c

3m

3m

4

0

20

40

60

80

P

1

/kW

10

5

0

0

100 Q/m3/h

0

20

40

60

80

Q/m3/h

η hyd.

NPSH

η hyd.

NPSH

η hyd./%

NPSH/m

6

8

0

4

60

4

40

2

4

0

2

20

0

0

0

0

0

20

40

60

80

100 Q/m3/h

0

20

40

60

80

Q/m3/h

NPSH/m

η hyd./%

Wilo-VeroLine-IL-E

max.

Δp-v

max.

Δp-v

max.

max.

31m

37m

22m

25m

13m

13m