62 Pompe in-line a motore ventilato elettroniche

Curve caratteristiche

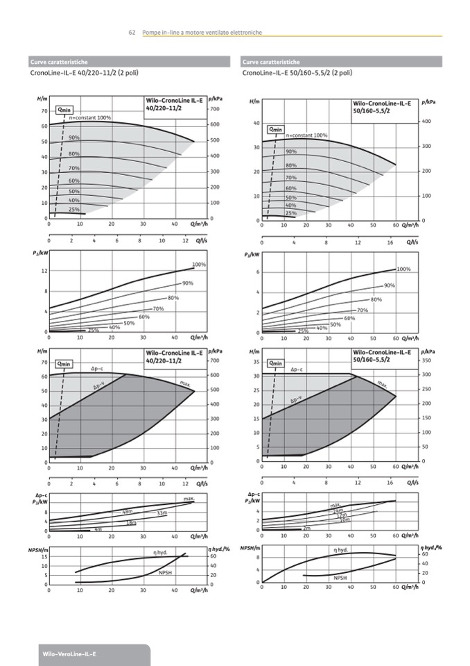
CronoLine-IL-E 40/220-11/2 (2 poli)

H/m

p/kPa

Curve caratteristiche

CronoLine-IL-E 50/160-5,5/2 (2 poli)

H/m

p/kPa

Qmin

90%

80%

70%

60%

50%

40%

25%

Wilo-CronoLine IL-E

40/220-11/2

n=constant 100%

Qmin

Wilo-CronoLine-IL-E

50/160-5,5/2

n=constant 100%

90%

80%

70%

60%

50%

40%

25%

70

60

50

40

30

300

20

200

10

100

40

30

400

300

700

600

500

400

0

0

0

10

20

30

40

Q/m3/h

0

2

4

6

8

10

1

2

Q/l/s

P

1

/kW

12

8

4

20

200

10

100

0

0

0

10

20

30

40

50

60 Q/m3/h

0

10

H/m

70

60

50

40

30

20

10

20

30

40

Q/m3/h

0

10

20

30

40

50

60Q/m3/h

0

4

8

12

16

Q/l/s

P

1

/kW

100%

90%

80%

70%

25%

4

60%

50%

0%

100%

90%

80%

70%

25

40%

60%

50%

0

0

%

6

4

2

Qmin

Δp-c

Wilo-CronoLine-IL-E

50/160-5,5/2

Wilo-CronoLine IL-E

40/220-11/2

Qmin

Δp-c

p/kPa

H/m

p/kPa

350

300

250

200

150

100

50

700

600

500

400

300

200

100

35

30

25

20

15

10

0

0

0

10

20

30

40

Q/m3/h

0

2

4

6

8

10

1

2

Q/l/s

Δp-c

P

1

/kW

8

4

0

0

10

20

30

40

Q/m3/h

5

0

0

Δp-c

P

1

/kW

4

2

0

0

0

0

10

10

20

30

40

50

60 Q/m3/h

4

8

12

16

Q/l/s

4m

20

30

40

50

60 Q/m3/h

η hyd.

NPSH

NPSH/m

15

6

0

8

η hyd./%

60

40

20

η hyd.

NPSH

η hyd./%

10

40

5

20

0

0

0

10

20

30

40

Q/m3/h

NPSH/m

4

0

0

0

10

20

30

40

50

60 Q/m3/h

Wilo-VeroLine-IL-E

max.

max.

Δp-v

Δp-v

max.

max.

24m

48m

33m

17m

10m

18m

2m