46 Pompe in-line a motore ventilato elettroniche

Curve caratteristiche

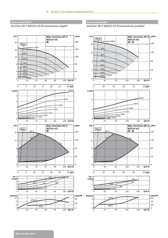
VeroTwin-DP-E 80/110-4/2 (Funzionamento singolo)

H/m

20

16

12

Curve caratteristiche

VeroTwin-DP-E 80/110-4/2 (Funzionamento parallelo)

p/kPa

H/m

p/kPa

Qmin

Wilo-VeroTwin-DP-E

80/110-4/2

X

n=constant 100%

90%

80%

70%

60%

50%

40%

25%

Qmin

n=co

nstant 100%

Wilo-VeroTwin-DP-E

80/110-4/2

Y

90%

80%

70%

60%

50%

40%

25%

200

160

120

16

12

160

120

8

80

4

40

0

0

0

0

8

80

4

40

0

20

40

60

80

100 Q/m3/h

0

5

10

15

20

25

30Q/l/s

0

40

80

120

160

Q/m3/h

0

10

20

30

40

50Q/l/s

70%

60%

80%

90%

100%

25%

50%

40%

100%

90%

80%

25%

40%

70%

60%

50%

P

1

/kW

4

P

1

/kW

8

3

2

1

0

0

0

20

40

60

80

100 Q/m3/h

4

p/kPa

H/m

160

16

0

40

80

120

160

Q/m3/h

Qmin

Δp-c

Wilo-VeroTwin-DP-E

80/110-4/2

X

Qmin

Δp-c

Wilo-VeroTwin-DP-E

80/110-4/2

Y

H/m

16

p/kPa

160

12

8

4

Δp-c

P

1

/kW

3

2

1

NPSH/m

12

120

80

40

120

12

8

0

8

4

0

4

0

0

0

0

0

20

40

60

80

100 Q/m3/h

0

5

10

15

20

25

30Q/l/s

0

40

80

120

160

Q/m3/h

0

10

20

30

40

50Q/l/s

Δp-c

P

1

/kW

8

4

0

0

0

20

40

60

80

100 Q/m3/h

0

40

80

120

160

Q/m3/h

η hyd.

NPSH

η hyd.

NPSH

η hyd./%

NPSH/m

80

8

η hyd./%

60

8

40

4

4

0

4

20

0

0

0

0

0

20

40

60

80

100 Q/m3/h

0

40

80

120

160

Q/m3/h

Wilo-VeroLine-DP-E

Δp-v

Δp-v

max.

m

a

x

.

max.

max.

8m

4m

12m

8m

12m

4m

1,5m

1,5m