34 Pompe in-line a motore ventilato elettroniche

Curve caratteristiche

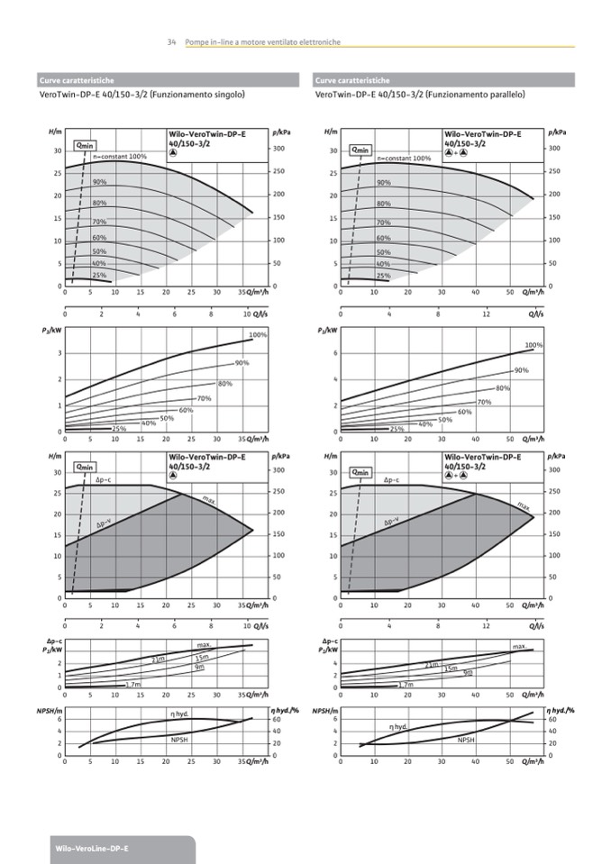
VeroTwin-DP-E 40/150-3/2 (Funzionamento singolo)

H/m

30

300

25

250

20

200

15

150

10

100

Curve caratteristiche

VeroTwin-DP-E 40/150-3/2 (Funzionamento parallelo)

n=constant 100%

90%

80%

Wilo-VeroTwin-DP-E

40/150-3/2

X

Qmin

70%

60%

50%

40%

25%

Qmin

n=constant 100%

90%

80%

70%

60%

50%

40%

25%

Wilo-VeroTwin-DP-E

40/150-3/2

Y

p/kPa

H/m

p/kPa

30

300

25

250

20

200

15

150

10

100

5

5

0

5

50

0

0

0

0

0

5

10

15

20

25

30

35Q/m3/h

0

2

4

6

8

10Q/l/s

0

10

20

30

40

5

0

Q/m3/h

0

4

8

12

Q/l/s

100%

90%

70%

80%

2 5%

60%

50%

40%

100%

90%

80%

70%

25%

5

40%

60%

0%

P

1

/kW

3

6

2

4

1

2

0

0

0

5

10

15

20

25

30

35Q/m3/h

P

1

/kW

0

10

20

30

40

50 Q/m3/h

Wilo-VeroTwin-DP-E

40/150-3/2

X

Qmin

Δp-c

Wilo-VeroTwin-DP-E

40/150-3/2

Y

Qmin

Δp-c

H/m

30

300

25

250

20

200

15

150

10

100

p/kPa

H/m

30

p/kPa

300

250

200

150

100

50

25

20

15

10

5

5

0

5

0

0

0

0

0

5

1

0

1

5

2

0

2

5

3

0

35Q/m3/h

0

0

2

4

6

8

10Q/l/s

0

Δp-c

Δp-c

10

20

30

40

50 Q/m3/h

4

8

12

Q/l/s

P

1

/kW

P

1

/kW

2

4

1

2

0

0

0

5

10

15

20

25

30

35Q/m3/h

η hyd./%

NPSH/m

6

6

0

6

4

4

0

4

2

2

0

2

0

10

20

30

40

50 Q/m3/h

η hyd.

NPSH

η hyd.

NPSH

NPSH/m

η hyd./%

60

40

20

0

0

0

0

0

5

10

15

20

25

30

35Q/m3/h

0

10

20

30

40

5

0

Q/m3/h

Wilo-VeroLine-DP-E

max.

max.

Δp-v

Δp-v

max.

max.

15m

21m

21m

9m

15m

9m

1,7m

1,7m