16

Pompe in-line a motore ventilato elettroniche

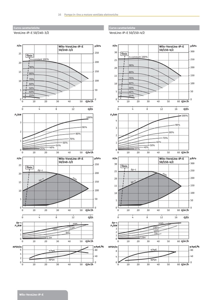
Curve caratteristiche

VeroLine-IP-E 50/140-3/2

H/m

25

20

15

10

Curve caratteristiche

VeroLine-IP-E 50/150-4/2

p/kPa

H/m

p/kPa

250

200

150

100

50

Qmin

90%

80%

70%

60%

Wilo-VeroLine-IP-E

50/150-4/2

n=constant 100%

50%

40%

25%

n=constant 100%

90%

80%

70%

60%

50%

40%

25%

Wilo-VeroLine-IP-E

50/140-3/2

Qmin

30

25

20

15

10

100

300

250

200

150

5

0

0

0

0

0

10

20

30

40

50

Q/m3/h

0

4

8

12

Q/l/s

0

10

20

30

40

50

60Q/m3/h

0

4

8

12

16

Q/l/s

5

50

100%

90%

80%

70%

25%

60%

50%

40%

100%

90%

80%

70%

60%

50%

25

40%

%

P

1

/kW

3

P

1

/kW

4

3

2

1

p/kPa

H/m

250

30

2

1

0

0

0

10

20

30

40

50

Q/m3/h

0

10

20

30

40

50

60 Q/m3/h

Qmin

Δp-c

Wilo-VeroLine-IP-E

50/150-4/2

Qmin

Δp-c

Wilo-VeroLine-IP-E

50/140-3/2

H/m

25

20

15

10

200

150

100

50

25

20

15

10

p/kPa

300

250

200

150

100

50

5

0

0

0

0

5

0

10

20

30

40

5

0

Q/m3/h

0

4

8

12

Q/l/s

0

0

0

10

10

20

30

40

50

60 Q/m3/h

4

8

12

16

Q/l/s

Δp-c

P

1

/kW

2

1

Δp-c

P

1

/kW

3

2

1

0

0

0

10

20

30

40

50 Q/m3/h

20

30

40

50

60 Q/m3/h

η hyd.

NPSH

η hyd.

NPSH

NPSH/m

4

η hyd./%

NPSH/m

6

8

0

8

η hyd./%

80

4

0

4

0

0

0

0

0

10

20

30

40

50 Q/m3/h

0

10

20

30

40

50

60Q/m3/h

2

40

Wilo-VeroLine-IP-E

max.

max.

Δp-v

Δp-v

max.

max.

19m

11m

16m

13m

6m

7m

1,8m

1,5m