CANALIZZABILE AD ALTA PREVALENZ

A

Medi

a

Media

Caratteristiche del ventilator

e

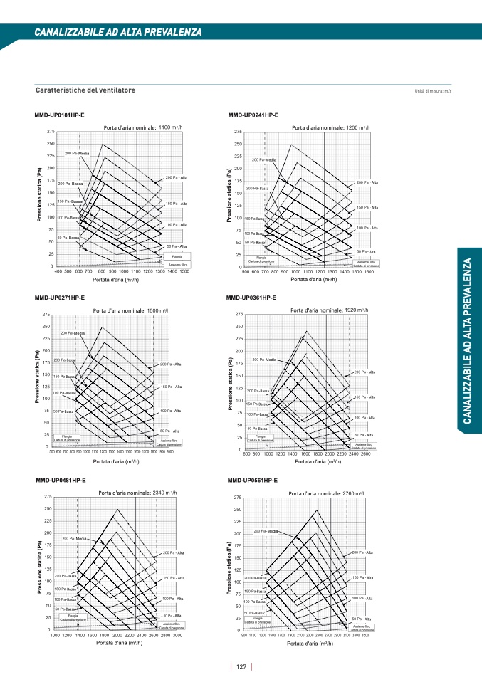
MMD-UP0181HP-E

MMD-UP0241HP-E

Porta d'aria nominale

:

P

r

e

s

s

i

o

n

e

s

t

a

t

i

c

a

(

P

a

)

Portata d'aria (m3/h)

MMD-UP0271HP-E

MMD-UP0361HP-E

Porta d'aria nominale

:

P

r

e

s

s

i

o

n

e

s

t

a

t

i

c

a

(

P

a

)

Assieme filtro

Caduta di

pressione

Portata d'aria (m3/h

)

MMD-UP0481HP-E

MMD-UP0561HP-

E

Porta d'aria nominale

:

Unità di misura: m/s

Porta d'aria nominale

:

P

r

e

s

s

i

o

n

e

s

t

a

t

i

c

a

(

P

a

)

P

r

e

s

s

i

o

n

e

s

t

a

t

i

c

a

(

P

a

)

P

r

e

s

s

i

o

n

e

s

t

a

t

i

c

a

(

P

a

)

Alt

a

Bass

a

Alt

a

Bassa

Bassa

Alt

a

Alt

a

Bassa

Bassa

Alta

Alt

a

Bass

a

Bass

a

Bassa

Alta

Alt

a

Flangi

a

Flangia

Caduta di pressione

Assieme filtro

Assieme filtro

Caduta di pression

e

Portata d'aria (m3/h)

Porta d'aria nominale

:

Media

Bassa

Media

Alt

a

Alta

Bass

a

Alta

Bass

a

Bass

a

Alt

a

Bass

a

Bass

a

Alt

a

Bassa

Alt

a

C

A

N

A

L

I

Z

Z

A

B

I

L

E

A

D

A

L

T

A

P

R

E

V

A

L

E

N

Z

A

Bassa

Alt

a

Alt

a

Flangia

Caduta di pression

e

Flangi

a

Caduta di pression

e

Assieme filtro

Caduta di pression

e

Portata d'aria (m3/h

)

Porta d'aria nominale:

Medi

a

Medi

a

Alta

Bass

a

Alt

a

Bass

a

P

r

e

s

s

i

o

n

e

s

t

a

t

i

c

a

(

P

a

)

Alt

a

Bassa

Alt

a

Bassa

Bassa

Alt

a

Alt

a

Bass

a

Bass

a

Bassa

Flangia

Caduta di pressione

Alt

a

Flangi

a

Caduta di pression

e

Alt

a

Assieme filtr

o

Caduta di pressione

Assieme filtro

Caduta di pressione

Portata d'aria (m3/h

)

MMD-UP0721HP-E1

3

5

0

P

o

r

t

a

d

'

a

r

i

a

n

o

m

i

n

a

l

e

:

3

8

0

0

(

m

/

h

)

127

1

5

0

0

Portata d'aria (m3/h

)

Porta d'aria nominale: 3800 (m /h)