CANALIZZABIL

E

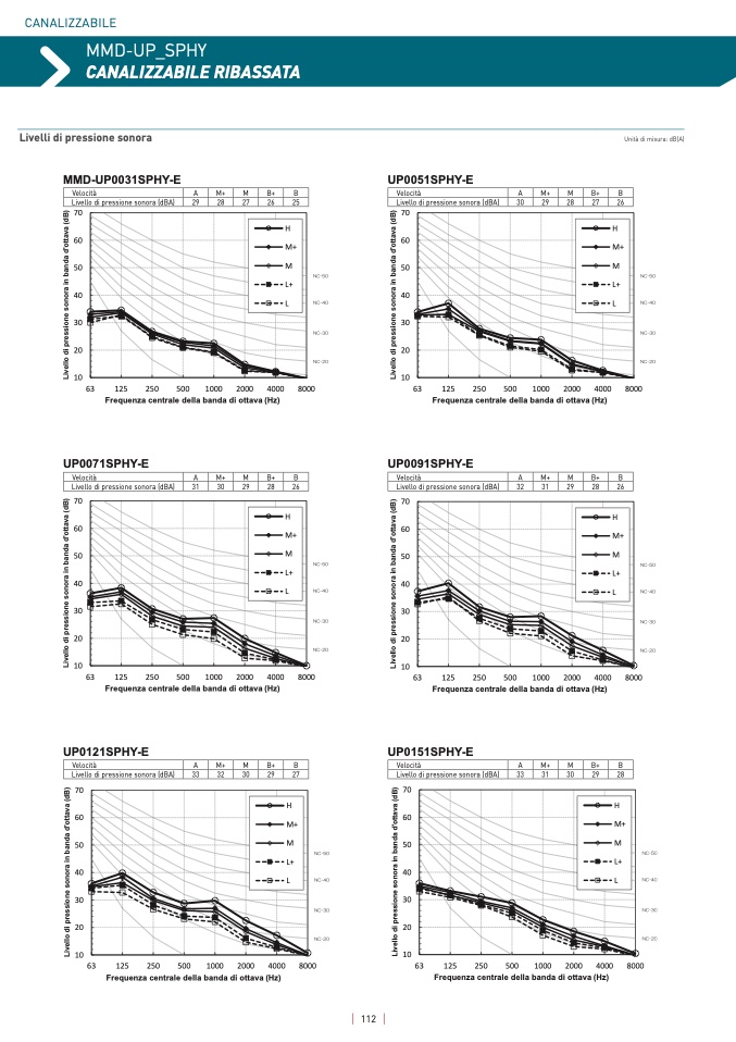
MMD-UP_SPHY

CANALIZZABILE RIBASSAT

A

Livello pressione sonora (dBA)

Livello pressione sonora (dBA)

Livello pressione sonora (dBA)

Livello pressione sonora (dBA)

Livello pressione sonora (dBA)

Livello pressione sonora (dBA

)

Livello pressione sonora (dBA)

Livello pressione sonora (dBA

)

Livelli di pressione sonor

a

Livello pressione sonora (dBA

)

Livello pressione sonora (dBA

)

L

i

v

e

l

l

o

d

i

p

r

e

s

s

i

o

n

e

s

o

n

o

r

a

i

n

b

a

n

d

a

d

'

o

t

t

a

v

a

(

d

B

)

70

7

0

H

H

MMD-UP0031SPHY-

E

L

i

v

e

l

l

o

d

i

p

r

e

s

s

i

o

n

e

s

o

n

o

r

a

i

n

b

a

n

d

a

d

'

o

t

t

a

v

a

(

d

B

)

70

60

Velocità

Livello di pressione sonora (dBA)

29

28

27

26

2

5

6

0

50

L

i

v

e

l

l

o

d

i

p

r

e

s

s

i

o

n

e

s

o

n

o

r

a

i

n

b

a

n

d

a

d

'

o

t

t

a

v

a

(

d

B

)

70

5

0

40

6

0

4

0

30

5

0

3

0

20

4

0

2

0

10

3

0

L

i

v

e

l

l

o

d

i

p

r

e

s

s

i

o

n

e

s

o

n

o

r

a

i

n

b

a

n

d

a

d

'

o

t

t

a

v

a

(

d

B

)

1

0

L

i

v

e

l

l

o

d

i

p

r

e

s

s

i

o

n

e

s

o

n

o

r

a

i

n

b

a

n

d

a

d

'

o

t

t

a

v

a

(

d

B

)

70

6

0

M+

A

M+

M

B+

B

H

M+

H

6

0

5

0

M

L

i

v

e

l

l

o

d

i

p

r

e

s

s

i

o

n

e

s

o

n

o

r

a

i

n

b

a

n

d

a

d

'

o

t

t

a

v

a

(

d

B

)

7

0

M+

M

M+

L+

H

M

5

0

4

0

6

0

L M

+

L+

4

0

3

0

5

0

M

L

L+

3

0

2

0

4

0

L

2

0

1

0

3

0

63

125

250

500

1000 2000 4000 8000

63

125

250

500

1000 2000 4000 8000

Frequenza centrale della banda di ottava (Hz

)

Frequenza centrale della banda di ottava (Hz

)

1

0

2

0

63

125

250

500

1000 2000 4000 8000

63

125

250

500

1000 2000 4000 8000

Frequenza centrale della banda di ottava (Hz

)

Frequenza centrale della banda di ottava (Hz

)

1

0

Unità di misura: dB(A)

L+

H

M

L M

+

L+

M

L

L+

L

2

0

1

0

L

i

v

e

l

l

o

d

i

p

r

e

s

s

i

o

n

e

s

o

n

o

r

a

i

n

b

a

n

d

a

d

'

o

t

t

a

v

a

(

d

B

)

L

i

v

e

l

l

o

d

i

p

r

e

s

s

i

o

n

e

s

o

n

o

r

a

i

n

b

a

n

d

a

d

'

o

t

t

a

v

a

(

d

B

)

L

i

v

e

l

l

o

d

i

p

r

e

s

s

i

o

n

e

s

o

n

o

r

a

i

n

b

a

n

d

a

d

'

o

t

t

a

v

a

(

d

B

)

7

0

Livello pressione sonora (dBA

)

Livello pressione sonora (dBA

)

70

H

H

6

0

5

0

70

5

0

4

0

6

0

4

0

3

0

5

0

3

0

2

0

4

0

2

0

1

0

3

0

1

0

2

0

1

0

L+

H

M

L M

+

L+

M

L

L+

L

L+

H

M

L M

+

L+

M

L

L+

L

7

0

6

0

UP0051SPHY-E

L

i

v

e

l

l

o

d

i

p

r

e

s

s

i

o

n

e

s

o

n

o

r

a

i

n

b

a

n

d

a

d

'

o

t

t

a

v

a

(

d

B

)

L

i

v

e

l

l

o

d

i

p

r

e

s

s

i

o

n

e

s

o

n

o

r

a

i

n

b

a

n

d

a

d

'

o

t

t

a

v

a

(

d

B

)

7

0

60

M+

M

+

Velocità

A

M+

M

B+

B

H

H

Livello di pressione sonora (dBA)

30

29

28

27

26

6

0

50

M

M

L

i

v

e

l

l

o

d

i

p

r

e

s

s

i

o

n

e

s

o

n

o

r

a

i

n

b

a

n

d

a

d

'

o

t

t

a

v

a

(

d

B

)

7

0

M+

M+

5

0

40

6

0

4

0

30

5

0

3

0

20

4

0

2

0

10

3

0

63

125

250

500

1000 2000 4000 800

0

63

125

250

500

1000 2000 4000 8000

Frequenza centrale della banda di ottava (Hz

)

Frequenza centrale della banda di ottava (Hz)

1

0

2

0

63

125

250

500

1000 2000 4000 800

0

63

125

250

500

1000 2000 4000 8000

Frequenza centrale della banda di ottava (Hz)

Frequenza centrale della banda di ottava (Hz)

1

0

63

125

250

500

1000 2000 4000 8000

63

125

250

500

1000 2000 4000 8000

Frequenza centrale della banda di ottava (Hz)

Livello pressione sonora (dBA

)

Frequenza centrale della banda di ottava (Hz)

Livello pressione sonora (dBA

)

Livello pressione sonora (dBA

)

Livello pressione sonora (dBA

)

UP0091SPHY-E

Livello pressione sonora (dBA)

Livello pressione sonora (dBA

)

63

125

250

500

1000 2000 4000 8000

63

125

250

500

1000 2000 4000 8000

Frequenza centrale della banda di ottava (Hz)

Livello pressione sonora (dBA)

Frequenza centrale della banda di ottava (Hz)

Livello pressione sonora (dBA)

Livello pressione sonora (dBA)

Livello pressione sonora (dBA)

UP0071SPHY-E

Livello pressione sonora (dBA)

Livello pressione sonora (dBA)

L

i

v

e

l

l

o

d

i

p

r

e

s

s

i

o

n

e

s

o

n

o

r

a

i

n

b

a

n

d

a

d

'

o

t

t

a

v

a

(

d

B

)

L

i

v

e

l

l

o

d

i

p

r

e

s

s

i

o

n

e

s

o

n

o

r

a

i

n

b

a

n

d

a

d

'

o

t

t

a

v

a

(

d

B

)

L

i

v

e

l

l

o

d

i

p

r

e

s

s

i

o

n

e

s

o

n

o

r

a

i

n

b

a

n

d

a

d

'

o

t

t

a

v

a

(

d

B

)

70

Velocità

A

M+

M

B+

B

Livello di pressione sonora (dBA)

31

30

29

28

2

6

H

L

i

v

e

l

l

o

d

i

p

r

e

s

s

i

o

n

e

s

o

n

o

r

a

i

n

b

a

n

d

a

d

'

o

t

t

a

v

a

(

d

B

)

7

0

L

i

v

e

l

l

o

d

i

p

r

e

s

s

i

o

n

e

s

o

n

o

r

a

i

n

b

a

n

d

a

d

'

o

t

t

a

v

a

(

d

B

)

L

i

v

e

l

l

o

d

i

p

r

e

s

s

i

o

n

e

s

o

n

o

r

a

i

n

b

a

n

d

a

d

'

o

t

t

a

v

a

(

d

B

)

70

60

6

0

50

70

5

0

40

6

0

4

0

30

5

0

3

0

20

4

0

2

0

10

M+

H

M

M+

L+

H

M

L M

+

L+

M

L

3

0

1

0

2

0

1

0

70

6

0

6

0

5

0

7

0

5

0

4

0

6

0

4

0

3

0

5

0

3

0

2

0

4

0

2

0

1

0

3

0

L+

L

H

M+

H

M

M+

L+

H

M

L M

+

L+

M

L

L+

L

63

125

250

500

1000 2000 4000 800

0

63

125

250

500

1000 2000 4000 800

0

Frequenza centrale della banda di ottava (Hz

)

Frequenza centrale della banda di ottava (Hz

)

1

0

2

0

63

125

250

500

1000 2000 4000 800

0

63

125

250

500

1000 2000 4000 800

0

Frequenza centrale della banda di ottava (Hz

)

Frequenza centrale della banda di ottava (Hz

)

1

0

L

i

v

e

l

l

o

d

i

p

r

e

s

s

i

o

n

e

s

o

n

o

r

a

i

n

b

a

n

d

a

d

'

o

t

t

a

v

a

(

d

B

)

L

i

v

e

l

l

o

d

i

p

r

e

s

s

i

o

n

e

s

o

n

o

r

a

i

n

b

a

n

d

a

d

'

o

t

t

a

v

a

(

d

B

)

L

i

v

e

l

l

o

d

i

p

r

e

s

s

i

o

n

e

s

o

n

o

r

a

i

n

b

a

n

d

a

d

'

o

t

t

a

v

a

(

d

B

)

7

0

A

M+

M

B+

B

7

0

6

0

6

0

5

0

70

5

0

4

0

6

0

4

0

3

0

5

0

3

0

2

0

4

0

2

0

1

0

3

0

1

0

2

0

1

0

M+

H

M

M+

L+

H

M

L M

+

L+

M

L

M

+

H

M

M+

L+

H

M

L M

+

L+

M

L

L

i

v

e

l

l

o

d

i

p

r

e

s

s

i

o

n

e

s

o

n

o

r

a

i

n

b

a

n

d

a

d

'

o

t

t

a

v

a

(

d

B

)

70

Velocità

Livello di pressione sonora (dBA)

32

31

29

28

2

6

H

H

L

i

v

e

l

l

o

d

i

p

r

e

s

s

i

o

n

e

s

o

n

o

r

a

i

n

b

a

n

d

a

d

'

o

t

t

a

v

a

(

d

B

)

7

0

60

L

i

v

e

l

l

o

d

i

p

r

e

s

s

i

o

n

e

s

o

n

o

r

a

i

n

b

a

n

d

a

d

'

o

t

t

a

v

a

(

d

B

)

6

0

50

7

0

5

0

40

6

0

4

0

30

5

0

L+

L+

3

0

20

4

0

L

L

2

0

10

3

0

63

125

250

500

1000 2000 4000 800

0

63

125

250

500

1000 2000 4000 8000

Frequenza centrale della banda di ottava (Hz

)

Frequenza centrale della banda di ottava (Hz)

1

0

2

0

63

125

250

500

1000 2000 4000 800

0

63

125

250

500

1000 2000 4000 8000

Frequenza centrale della banda di ottava (Hz)

Frequenza centrale della banda di ottava (Hz)

1

0

63

125

250

500

1000 2000 4000 800

0

63

125

250

500

1000 2000 4000 800

0

63

125

250

500

1000 2000 4000 8000

63

125

250

500

1000 2000 4000 8000

Livello pressione sonora (dBA)

Livello pressione sonora (dBA)

Livello pressione sonora (dBA)

Livello pressione sonora (dBA

)

Frequenza centrale della banda di ottava (Hz)

Frequenza centrale della banda di ottava (Hz)

Frequenza centrale della banda di ottava (Hz)

Frequenza centrale della banda di ottava (Hz)

Livello pressione sonora (dBA)

Livello pressione sonora (dBA

)

Livello pressione sonora (dBA)

Livello pressione sonora (dBA)

UP0121SPHY-E

UP0151SPHY-E

Velocità

A

M+

M

B+

B

Velocità

A

M+

M

B+

B

Livello di pressione sonora (dBA)

33

32

30

29

2

7

Livello pressione sonora (dBA)

Livello pressione sonora (dBA

)

Livello pressione sonora (dBA)

Livello pressione sonora (dBA

)

Livello di pressione sonora (dBA)

33

31

30

29

28

L

i

v

e

l

l

o

d

i

p

r

e

s

s

i

o

n

e

s

o

n

o

r

a

i

n

b

a

n

d

a

d

'

o

t

t

a

v

a

(

d

B

)

70

H

L

i

v

e

l

l

o

d

i

p

r

e

s

s

i

o

n

e

s

o

n

o

r

a

i

n

b

a

n

d

a

d

'

o

t

t

a

v

a

(

d

B

)

70

6

0

M+

H

L

i

v

e

l

l

o

d

i

p

r

e

s

s

i

o

n

e

s

o

n

o

r

a

i

n

b

a

n

d

a

d

'

o

t

t

a

v

a

(

d

B

)

60

5

0

7

0

M

M+

L+

H

M

50

4

0

6

0

L M

+

L+

40

3

0

5

0

M

L

L+

30

2

0

4

0

L

20

1

0

3

0

63

125

250

500

1000 2000 4000 800

0

63

125

250

500

1000 2000 4000 800

0

Frequenza centrale della banda di ottava (Hz

)

Frequenza centrale della banda di ottava (Hz

)

10

2

0

63

125

250

500

1000 2000 4000 800

0

63

125

250

500

1000 2000 4000 800

0

Frequenza centrale della banda di ottava (Hz

)

Frequenza centrale della banda di ottava (Hz

)

1

0

7

0

7

0

7

0

6

0

70

6

0

6

0

5

0

60

5

0

L

i

v

e

l

l

o

d

i

p

r

e

s

s

i

o

n

e

s

o

n

o

r

a

i

n

b

a

n

d

a

d

'

o

t

t

a

v

a

(

d

B

)

L

i

v

e

l

l

o

d

i

p

r

e

s

s

i

o

n

e

s

o

n

o

r

a

i

n

b

a

n

d

a

d

'

o

t

t

a

v

a

(

d

B

)

L

i

v

e

l

l

o

d

i

p

r

e

s

s

i

o

n

e

s

o

n

o

r

a

i

n

b

a

n

d

a

d

'

o

t

t

a

v

a

(

d

B

)

70

70

6

0

6

0

5

0

7

0

5

0

4

0

6

0

4

0

3

0

5

0

3

0

2

0

4

0

2

0

1

0

3

0

1

0

2

0

1

0

H

M+

H

M

M+

L+

H

M

L M

+

L+

M

L

L+

L

L

i

v

e

l

l

o

d

i

p

r

e

s

s

i

o

n

e

s

o

n

o

r

a

i

n

b

a

n

d

a

d

'

o

t

t

a

v

a

(

d

B

)

L

i

v

e

l

l

o

d

i

p

r

e

s

s

i

o

n

e

s

o

n

o

r

a

i

n

b

a

n

d

a

d

'

o

t

t

a

v

a

(

d

B

)

L

i

v

e

l

l

o

d

i

p

r

e

s

s

i

o

n

e

s

o

n

o

r

a

i

n

b

a

n

d

a

d

'

o

t

t

a

v

a

(

d

B

)

H

M

+

H

M

H

M+

H

M

7

0

5

0

4

0

6

0

4

0

3

0

5

0

3

0

2

0

4

0

2

0

1

0

3

0

1

0

2

0

1

0

M+

L+

H

M

L M

+

L+

M+

L+

H

M

L M

+

L+

L

i

v

e

l

l

o

d

i

p

r

e

s

s

i

o

n

e

s

o

n

o

r

a

i

n

b

a

n

d

a

d

'

o

t

t

a

v

a

(

d

B

)

L

i

v

e

l

l

o

d

i

p

r

e

s

s

i

o

n

e

s

o

n

o

r

a

i

n

b

a

n

d

a

d

'

o

t

t

a

v

a

(

d

B

)

L

i

v

e

l

l

o

d

i

p

r

e

s

s

i

o

n

e

s

o

n

o

r

a

i

n

b

a

n

d

a

d

'

o

t

t

a

v

a

(

d

B

)

7

0

50

4

0

6

0

40

3

0

5

0

30

2

0

4

0

20

1

0

3

0

63

125

250

500

1000 2000 4000 8000

63

125

250

500

1000 2000 4000 800

0

Frequenza centrale della banda di ottava (Hz)

Frequenza centrale della banda di ottava (Hz

)

10

2

0

63

125

250

500

1000 2000 4000 8000

63

125

250

500

1000 2000 4000 8000

Frequenza centrale della banda di ottava (Hz)

Frequenza centrale della banda di ottava (Hz)

1

0

63

125

250

500

1000 2000 4000 8000

63

125

250

500

1000 2000 4000 800

0

Frequenza centrale della banda di ottava (Hz

)

Frequenza centrale della banda di ottava (Hz)

M

L

L+

L

M

L

L+

L

112

63

125

250

500

1000 2000 4000 800

0

63

125

250

500

1000 2000 4000 800

0

Frequenza centrale della banda di ottava (Hz

)

Frequenza centrale della banda di ottava (Hz)