1

2

3

4

64 Wilo-Sistemi di pressurizzazione idrica Premium

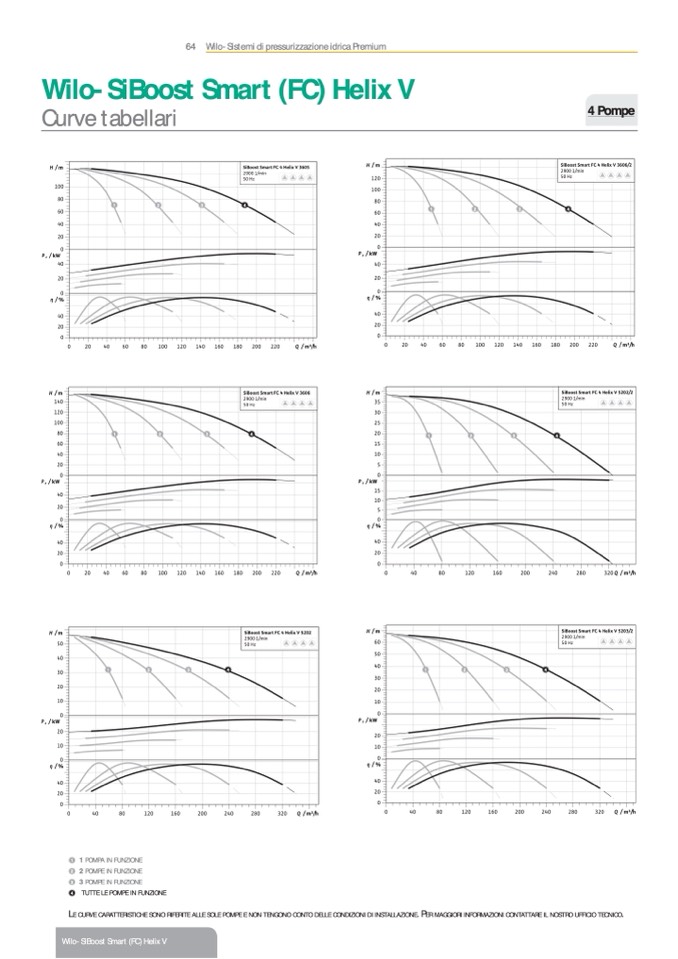
Wilo-SiBoost Smart (FC) Helix V

Curve tabellari

4 Pompe

SiBoost Smart FC 4 Helix V 3606/2

2900 1/min

50 Hz

1

2

3

4

H / m

100

80

60

40

20

0

P2 /kW

40

20

0

η/%

40

20

0

H/m

140

120

100

80

60

40

20

SiBoost Smart FC 4 Helix V 3605

H / m

0

20

40

60

80

100

120

140

160

180

200

220

Q/m3/h

0

20

40

60

80

100

120

140

160

180

200

220

Q/m3/h

2900 1/min

50 Hz

120

100

80

60

40

20

0

P2 /kW

40

20

0

η/%

40

20

0

SiBoost Smart FC 4 Helix V 3606

H / m

2900 1/min

50 Hz

35

30

25

1

2

3

4

20

15

10

5

SiBoost Smart FC 4 Helix V 5202/2

2900 1/min

50 Hz

0

0

1

2

3

4

0

40

80

120

160

200

240

P2 /kW

15

10

5

η/%

η/%

40

40

20

20

0

0

P2 /kW

40

H / m

50

40

30

20

10

0

P2 /kW

20

10

0

η/%

40

20

0

SiBoost Smart FC 4 Helix V 5202

2900 1/min

50 Hz

H / m

60

50

40

2900 1/min

50 Hz

20

0

0

0

20

40

60

80

100

120

140

160

180

200

220

Q/m3/h

280

320Q / m3/h

SiBoost Smart FC 4 Helix V 5203/2

0

1

2

3

4

40

80

120

160

200

240

280

320

Q / m3/h

0

40

80

120

160

200

240

280

320

Q / m3/h

1

2

3

4

1

2

3

4

30

1 POMPA IN FUNZIONE

2 POMPE IN FUNZIONE

3 POMPE IN FUNZIONE

TUTTE LE POMPE IN FUNZIONE

L

E CURVE CARATTERISTICHE SONO RIFERITE ALLE SOLE POMPE E NON TENGONO CONTO DELLE CONDIZIONI DI INSTALLAZIONE

. P

ER MAGGIORI INFORMAZIONI CONTATTARE IL NOSTRO UFFICIO TECNICO

.

Wilo-SiBoost Smart (FC) Helix V

0

P2 /kW

20

10

0

η/%

40

20

0

20

10