H/m

20

16

12

SiBoost Smart FC 4 Helix V 403

2900 1/min

50 Hz

H / m

P2 /kW

1

0,5

P2 /kW

1,5

1

0,5

8

4

1

2

3

4

25

20

15

1

2

3

4

10

5

���� Wilo-Sistemi di pressurizzazione idrica Premium

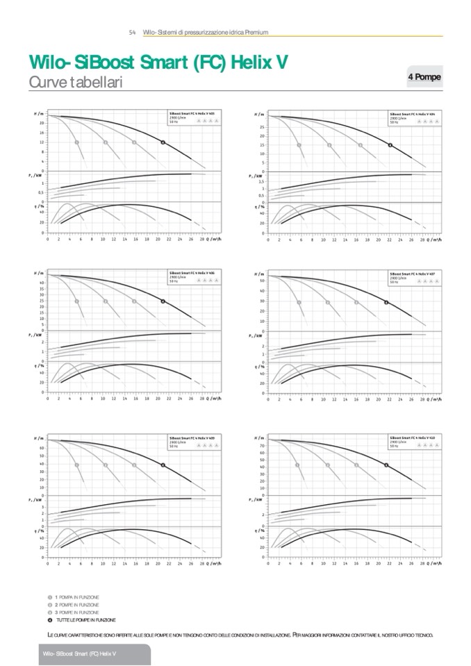
Wilo-SiBoost Smart (FC) Helix V

Curve tabellari

4 Pompe

SiBoost Smart FC 4 Helix V 404

2900 1/min

50 Hz

0

0

0

0

η/%

η/%

H/m

40

35

30

25

20

15

10

SiBoost Smart FC 4 Helix V 406

H / m

2900 1/min

50 Hz

50

40

30

20

10

SiBoost Smart FC 4 Helix V 407

2900 1/min

50 Hz

40

40

20

20

0

0

0

2

4

6

8

10

12

14

16

18

20

22

24

26

28Q/m3/h

0

2

4

6

8

10

12

14

16

18

20

22

24

26

28Q/m3/h

1

2

3

4

1

2

3

4

5

0

0

P2 /kW

η/%

η/%

40

20

H/m

60

50

40

30

20

10

40

2

1

2

1

0

0

20

0

0

0

2

4

6

8

10

12

14

16

18

20

22

24

26

28Q/m3/h

SiBoost Smart FC 4 Helix V 409

H / m

2900 1/min

50 Hz

70

60

50

1

2

3

4

1

2

3

4

40

30

20

10

0

0

P2 /kW

η/%

η/%

40

40

20

20

0

0

0

2

4

6

8

10

12

14

16

18

20

22

24

26

28Q/m3/h

1

1 POMPA IN FUNZIONE

2

2 POMPE IN FUNZIONE

3

3 POMPE IN FUNZIONE

4

TUTTE LE POMPE IN FUNZIONE

3

2

1

2

0

0

L

E CURVE CARATTERISTICHE SONO RIFERITE ALLE SOLE POMPE E NON TENGONO CONTO DELLE CONDIZIONI DI INSTALLAZIONE

. P

ER MAGGIORI INFORMAZIONI CONTATTARE IL NOSTRO UFFICIO TECNICO

.

Wilo-SiBoost Smart (FC) Helix V

P2 /kW

P2 /kW

0

2

4

6

8

10

12

14

16

18

20

22

24

26

28Q/m3/h

0

2

4

6

8

10

12

14

16

18

20

22

24

26

28Q/m3/h

SiBoost Smart FC 4 Helix V 410

2900 1/min

50 Hz